Rasyonel sayılar, matematik dünyasının temel taşlarından biridir. Öğrencilerimizin bu önemli konuyu daha iyi kavrayabilmeleri için hazırladığımız Rasyonel Sayılar Testi, bilgilerinizi pekiştirmenize yardımcı olacak. Rasyonel sayılarla ilgili işlemler, sıralama ve karşılaştırma gibi temel yeteneklerinizi ölçen bu test, aynı zamanda sınavlara hazırlık sürecinizde de size rehberlik edecektir. Şimdi, bu heyecan verici yolculuğa başlayalım ve rasyonel sayıların dünyasında kendinizi deneyelim!
Sorular
- Aşağıdaki sayılardan hangisi rasyonel bir sayıdır?
a) √2
b) 0,75
c) π
d) e - Aşağıdaki kesirlerden hangisi en sade haliyle verilmiştir?
a) 8/12
b) 15/25
c) 9/27
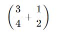
d) 7/11 - Aşağıdaki işlemin sonucu nedir?


- Hangisi negatif bir rasyonel sayıdır?
a) 3/7
b) -5/9
c) 0,8
d) 1,2 - Aşağıdaki işlemin sonucu nedir?


- Aşağıdaki rasyonel sayılardan hangisi diğerlerinden büyüktür?





Cevap Anahtarı
- b
- d
- b
- b
- c
- a
- c
- c
- a
- a