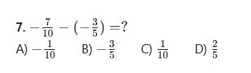
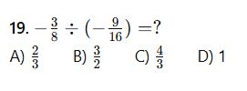
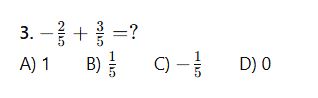
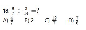
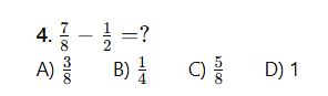
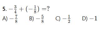
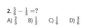
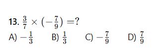
7. Sınıf Matematik – Rasyonel Sayılarla Dört İşlem (Toplama, Çıkarma, Çarpma, Bölme) Toplam 20 Orta Seviye Test Sorusu 🔹 Toplama ve Çıkarma Soruları 🔹 Çarpma ve Bölme Soruları